野川流域
- 更新日
野川流域の概要
野川は、国分寺市東恋ヶ窪の株式会社日立製作所中央研究所敷地内の大地に源を発し、国分寺崖線の湧水を集めながらほぼ南東に流れ、小金井市、三鷹市、調布市及び狛江市を経て、世田谷区二子玉川付近で多摩川に合流する一級河川です。
仙川は、小金井市貫井北町に源を発し、国分寺崖線上の武蔵野大地をほぼ南東に流れ、武蔵野市、三鷹市及び調布市を経て、世田谷区鎌田付近で野川と合流する一級河川です。
入間川は、調布市東つつじヶ丘の国道20号線付近を上流端とし、国分寺崖線下の調布市が位置を南東に流れ、狛江市東野川付近で野川と合流する一級河川です。
仙川は、小金井市貫井北町に源を発し、国分寺崖線上の武蔵野大地をほぼ南東に流れ、武蔵野市、三鷹市及び調布市を経て、世田谷区鎌田付近で野川と合流する一級河川です。
入間川は、調布市東つつじヶ丘の国道20号線付近を上流端とし、国分寺崖線下の調布市が位置を南東に流れ、狛江市東野川付近で野川と合流する一級河川です。
| 野川 | 仙川 | 入間川 | |
| 流域面積 | 69.6km2 | 19.8km2 | 3.5km2 |
| 延長 | 20.2km | 20.9km | 1.8km |
野川
野川流域図
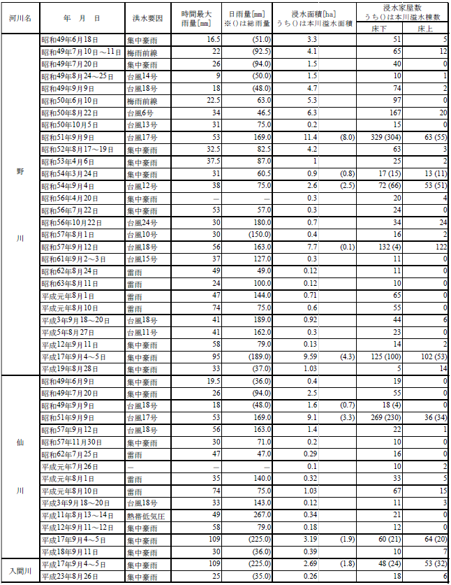
過去の水害
野川(平成17年9月集中豪雨)
野川流域における水害の状況
整備目標・内容
野川流域は、さまざまな都市機能が集中する首都東京を支える基盤として、洪水などの災害から都民の生命や財産を守る大きな役割を担っています。
洪水対策
野川流域では、年超過確率1/20(1時間あたり65mm)規模の降雨に対応することを目標としています。
洪水対策として主に河道改修や調節池の整備を行い、下図に示す各河川の計画流量の確保を目指します。
洪水対策として主に河道改修や調節池の整備を行い、下図に示す各河川の計画流量の確保を目指します。
計画流量配分図
河道改修
1時間あたり50mm規模の降雨による計画洪水流量を安全に流下させるため、河道改修(護岸整備・河床掘削)を行っています。
なお、野川及び仙川における護岸整備実施済の一部区間では、最下流部の整備状況に応じ、計画の河床高まで掘削せず、暫定的な深さに留めていたことから、引続き、河床掘削を行うこととしています。
なお、野川及び仙川における護岸整備実施済の一部区間では、最下流部の整備状況に応じ、計画の河床高まで掘削せず、暫定的な深さに留めていたことから、引続き、河床掘削を行うこととしています。
計画標準断面図(河床掘削:新井橋~小田急線)
整備後の野川(上野田橋下流)
河道改修に係る施行場所
調節池の整備
野川流域では、年超過確率1/20(1時間あたり65mm)規模の降雨により生じる降雨に対処するため、河道整備に加え、調節池の整備を行っています。
野川では、野川第一調節池(21,000m3)、野川第二調節池(28,000m3)、野川大沢調節池(90,000m3+68,000m3(拡張)を既に整備しています。
現在、野川流域では新たな調節池の整備に向け、検討を進めています。
野川では、野川第一調節池(21,000m3)、野川第二調節池(28,000m3)、野川大沢調節池(90,000m3+68,000m3(拡張)を既に整備しています。
現在、野川流域では新たな調節池の整備に向け、検討を進めています。
野川第二調節池(越流堤)
野川大沢調節池(イメージ図)
調節池整備に係る施行場所
河川環境の整備
河川環境の整備と保全にあたっては、多種多様な生物の生息環境、人々の利用、景観等に配慮した川づくりを実施していきます。
護岸整備予定区間については、川に親しめる空間の創出、生態系の連続性の確保などに配慮します。
河床掘削予定区間については、低水路・高水敷の整備及び保全、瀬や淵の形成、治水上支障のない範囲での樹木の保全を行い、生物の生息環境の形成に努めます。
護岸整備予定区間については、川に親しめる空間の創出、生態系の連続性の確保などに配慮します。
河床掘削予定区間については、低水路・高水敷の整備及び保全、瀬や淵の形成、治水上支障のない範囲での樹木の保全を行い、生物の生息環境の形成に努めます。
複断面河道整備イメージ(鞍尾根橋~不動橋)
整備状況
現在、以下の箇所で事業を行っています。
調節池工事写真(野川大沢調節池)
河川の安全度達成率・護岸整備率
野川流域では、護岸整備や調節池整備を着実に推進し、令和3年度末時点の「河川の安全度達成率」及び「護岸整備率」はそれぞれ以下の通りとなっています。
| 野川 | 仙川 | 入間川 | |
| 河川の安全度達成率 | 81% | 57% | 65% |
| 護岸整備率 | 86% | 99% | 0% |
河川整備計画
お問い合わせ
東京都 建設局 河川部 計画課 総合治水河川担当
電話:03-5320-5415
電話:03-5320-5415
記事ID:017-001-20240710-001791